Kamis, 27 Agustus 2015

Kimia Organik

Tugas 3
 
CARI ISOMER POLIHIDROKSI KETOSA DENGAN C = 3,4,5&6

Isomer Polihidroksi  ketosa dengan C=3 dan 4


 





Isomer Polihidroksi  ketosa dengan C=5 dan 6















Kamis, 13 Agustus 2015

Asam lemak dan minyak

            Asam lemak (bahasa Inggris: fatty acid) adalah senyawa alifatik dengan gugus karboksil. Bersama-sama dengan gliserol, asam lemak merupakan penyusun utama minyak nabati atau lemak dan merupakan bahan baku untuk semua lipid pada makhluk hidup. Asam ini mudah dijumpai dalam minyak masak (goreng), margarin, atau lemak hewan dan menentukan nilai gizinya. Secara alami, asam lemak bisa berbentuk bebas (sebagai lemak yang terhidrolisis) maupun terikat sebagai gliserida.

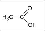
          Asam lemak tidak lain adalah asam alkanoat atau asam karboksilat dengan rumus kimia R-COOH or R-CO2H. Contoh yang cukup sederhana misalnya adalah H-COOH yang adalah asam format, H3C-COOH yang adalah asam asetat, H5C2-COOH yang adalah asam propionat, H7C3-COOH yang adalah asam butirat dan seterusnya mengikuti gugus alkil yang mempunyai ikatan valensi tunggal, sehingga membentuk rumus bangun alkana.
Karena berguna dalam mengenal ciri-cirinya, asam lemak dibedakan menjadi asam lemak 

jenuh dan asam lemak tak jenuh
          Asam lemak jenuh hanya memiliki ikatan tunggal di antara atom-atom karbon penyusunnya, sementara asam lemak tak jenuh memiliki paling sedikit satu ikatan ganda di antara atom-atom karbon penyusunnya. Asam lemak merupakan asam lemah, dan dalam air terdisosiasi sebagian. Umumnya berfase cair atau padat pada suhu ruang (27° Celsius). Semakin panjang rantai C penyusunnya, semakin mudah membeku dan juga semakin sukar larut.
             Asam lemak jenuh bersifat lebih stabil (tidak mudah bereaksi) daripada asam lemak tak jenuh. Ikatan ganda pada asam lemak tak jenuh mudah bereaksi dengan oksigen (mudah teroksidasi). Karena itu, dikenal istilah bilangan oksidasi bagi asam lemak.
Keberadaan ikatan ganda pada asam lemak tak jenuh menjadikannya memiliki dua bentuk: cis dan trans. Semua asam lemak nabati alami hanya memiliki bentuk cis (dilambangkan dengan "Z", singkatan dari bahasa Jerman zusammen). 
             Asam lemak bentuk trans (trans fatty acid, dilambangkan dengan "E", singkatan dari bahasa Jerman entgegen) hanya diproduksi oleh sisa metabolisme hewan atau dibuat secara sintetis. Akibat polarisasi atom H, asam lemak cis memiliki rantai yang melengkung. Asam lemak trans karena atom H-nya berseberangan tidak mengalami efek polarisasi yang kuat dan rantainya tetap relatif lurus.
Ketengikan (Ingg. rancidity) terjadi karena asam lemak pada suhu ruang dirombak akibat hidrolisis atau oksidasi menjadi hidrokarbon, alkanal, atau keton, serta sedikit epoksi dan alkohol (alkanol). Bau yang kurang sedap muncul akibat campuran dari berbagai produk ini.

Aturan penamaan

         Beberapa aturan penamaan dan simbol telah dibuat untuk menunjukkan karakteristik suatu asam lemak. Nama sistematik dibuat untuk menunjukkan banyaknya atom C yang menyusunnya (lihat asam alkanoat). Angka di depan nama menunjukkan posisi ikatan ganda setelah atom pada posisi tersebut. Contoh: asam 9-dekanoat, adalah asam dengan 10 atom C dan satu ikatan ganda setelah atom C ke-9 dari pangkal (gugus karboksil). Nama lebih lengkap diberikan dengan memberi tanda delta (Δ) di depan bilangan posisi ikatan ganda. Contoh: asam Δ9-dekanoat.

          Simbol C diikuti angka menunjukkan banyaknya atom C yang menyusunnya; angka di belakang titikdua menunjukkan banyaknya ikatan ganda di antara rantai C-nya). Contoh: C18:1, berarti asam lemak berantai C sebanyak 18 dengan satu ikatan ganda.
Lambang omega (ω) menunjukkan posisi ikatan ganda dihitung dari ujung (atom C gugus metil).

Minyak goreng
Minyak masakan adalah minyak atau lemak yang berasal dari pemurnian bagian tumbuhan, hewan, atau dibuat secara sintetik yang dimurnikan dan biasanya digunakan untuk menggoreng makanan[1]. Minyak masakan umumnya berbentuk cair dalam suhu kamar. Minyak masakan kebanyakan diperoleh dari tumbuhan, seperti kelapa, seralia, kacang-kacangan, jagung, kedelai, dan kanola.[1].

Kerusakan

Minyak goreng biasanya bisa digunakan hingga 3 - 4 kali penggorengan.[2] Jika digunakan berulang kali, minyak akan berubah warna.[1]
Saat penggorengan dilakukan, ikatan rangkap yang terdapat pada asam lemak tak jenuh akan putus membentuk asam lemak jenuh.[2]. Minyak yang baik adalah minyak yang mengandung asam lemak tak jenuh yang lebih banyak dibandingkan dengan kandungan asam lemak jenuhnya.[1]
Setelah penggorengan berkali-kali, asam lemak yang terkandung dalam minyak akan semakin jenuh.[2] Dengan demikian minyak tersebut dapat dikatakan telah rusak atau dapat disebut minyak jelantah.[3]. Penggunaan minyak berkali-kali akan membuat ikatan rangkap minyak teroksidasi membentuk gugus peroksida dan monomer siklik, minyak yang seperti ini dikatakan telah rusak dan berbahaya bagi kesehatan.[4]. Suhu yang semakin tinggi dan semakin lama pemanasan, kadar asam lemak jenuh akan semakin naik.[2] Minyak nabati dengan kadar asam lemak jenuh yang tinggi akan mengakibatkan makanan yang digoreng menjadi berbahaya bagi kesehatan.[1]
Selain karena penggorengan berkali-kali, minyak dapat menjadi rusak karena penyimpanan yang salah dalam jangka waktu tertentu sehingga ikatan trigliserida pecah menjadi gliserol dan asam lemak bebas.[3]

Faktor yang memengaruhi ketahanan

Beberapa faktor yang dapat memengaruhi kerusakan minyak adalah:
  • oksigen dan ikatan rangkap-->Semakin banyak ikatan rangkap dan oksigen yang terkandung maka minyak akan semakin cepat teroksidasi.[4]
  • suhu --> Suhu yang semakin tinggi juga akan mempercepat proses oksidasi.[3]
  • Cahaya dan ion logam --> berperan sebagai katalis yang mempercepat proses oksidasi.[5]
  • antioksidan --> membuat minyak lebih tahan terhadap oksidasi.[5]

Sumber

Minyak goreng umumnya berasal dari minyak kelapa sawit.[6]. Minyak kelapa dapat digunakan untuk menggoreng karena struktur minyaknya yang memiliki ikatan rangkap sehingga minyaknya termasuk lemak tak jenuh yang sifatnya stabil.[1] Selain itu pada minyak kelapa terdapat asam lemak esensial yang tidak dapat disintesis oleh tubuh.[1] Asam lemak tersebut adalah asam palmitat, stearat, oleat, dan linoleat.[1]
Beberapa minyak yang dipakai untuk menggoreng selain minyak kelapa sawit adalah minyak palm kernel, palm olein, palm stearin, dan Tallow.[6] Selain itu terdapat juga minyak lain seperti minyak biji anggur, bunga matahari, kedelai, dan zaitun.[6] Minyak-minyak ini kurang cocok apabila digunakan untuk menggoreng namun minyak-minyak ini memiliki kandungan asam lemak yang tinggi dan biasa digunakan sebagai bahan tambahan pada salad dan makanan lainnya

Kandungan minyak goreng bimoli
Informasi Gizi per 1 porsi (10 g)
Energi 377 kj
90 kkal
Lemak 10 g
Lemak Jenuh 4 g
Lemak tak Jenuh Ganda 4 g
Lemak tak Jenuh Tunggal 1 g
Protein 0 g
Karbohidrat 0 g